大型公共建筑能耗监测需求复杂,与其他类建筑较为不同,内部用能设备种类繁多、用能系统结构复杂。遵照国家相关建筑能耗采集内容和标准规定,大型公共建筑自身实际能耗情况,采用各种智能计量表计对相应数据进行采集,实行对该建筑的总能耗进行分类分项计量,最终提供较为全面的能耗数据。

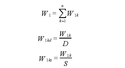
根据本建筑物所使用能源的类别不同划分,该建筑物的能耗可分成建筑电耗、水耗两类;根据能源的用途划分,该建筑能耗可分成照明插座用电、空调用电、动力用电、特殊用电、耗水量五项。监测系统需要对建筑物能耗进行采集、分析、计算、统计等一系列处理工作,生成不同的分类、分项能耗指标展示出来,供用户访问,满足其需求。计算公式如下:

式中,W1为建筑电耗,单位为千瓦时;
k 为电耗项别:照明插座、空调、动力、特殊 4 项电耗,k 分别取 1、2、3、4.单位千瓦时;
n 为电耗项别数目:取 4;
D 为建筑内总人数,单位为人;
1kdW 为相应的人均电耗,单位为千瓦时/人;
S 为建筑总面积,单位为平方米;
1ksW 为相应的单位面积电耗,单位为千瓦时/平方米。
对于利用上面公式计算而得出的相应电耗类指标,需要对其进行标准煤折算,转换系数为 0.1229;同理水耗也需进行相似计算,但不需要进行标准煤折算。

扫码加微信咨询产品、免费报价
裕乾(4006569698,www.vwsrts.cn)是一家智慧化系统集成软硬件研发、销售、服务为主的高新技术企业。经过多年发展,公司已成为智慧建筑、智慧工业、智慧环保、智慧电力、智慧水利、智慧农业等领域,具有自主研发能力、自主知识产权与自主品牌一体化的先进解决方案供应商、系统集成综合服务商。